• Предмет: Алгебра
  • Автор: Daniyr6638964
  • Вопрос задан 10 лет назад

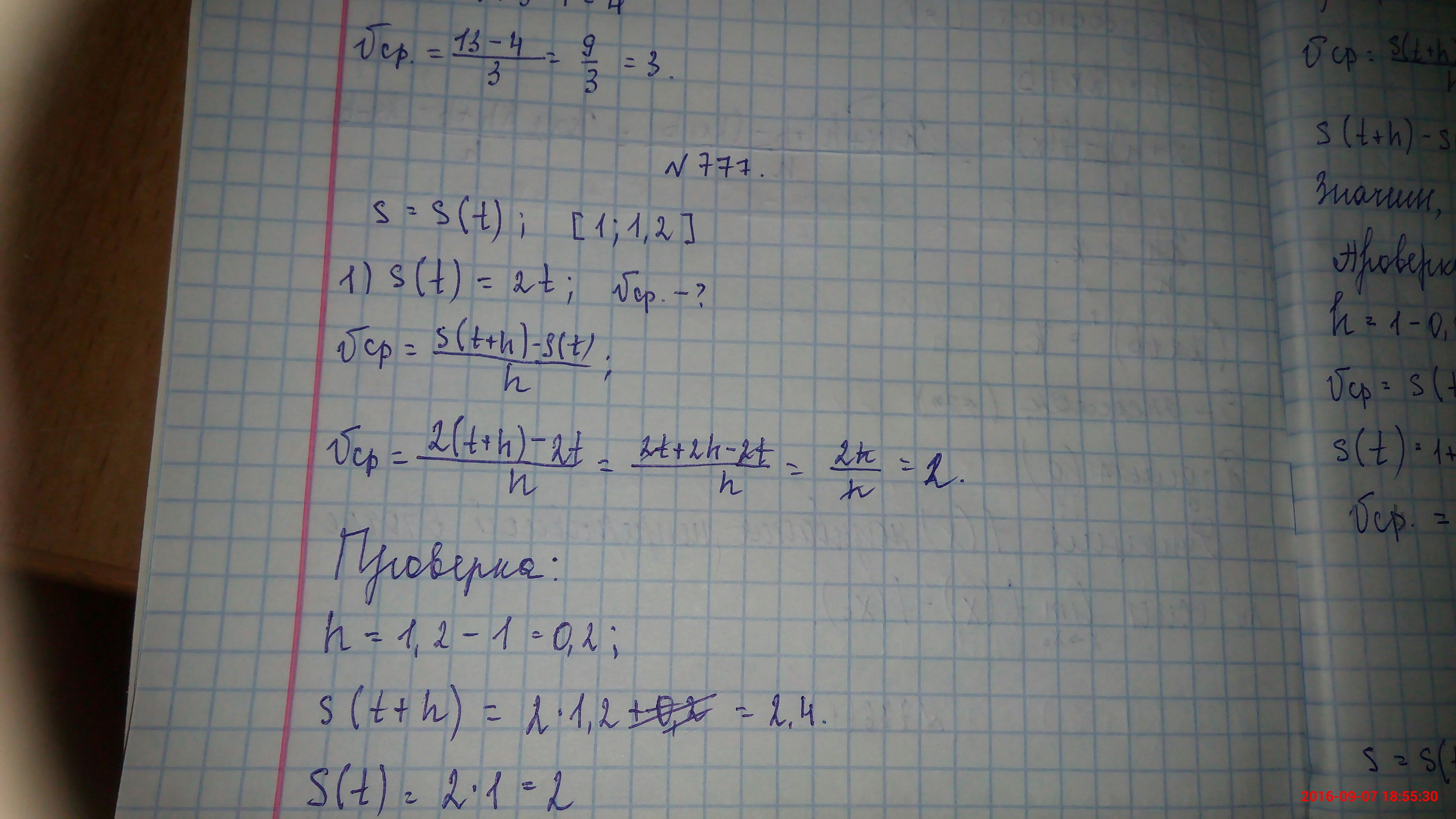
найдите среднюю скорость движения точки на отрезке 1;1,2 если закон движения s=s(t) заданна формула s(t)=2t

Ответы

Ответ дал: multik11
0
Вроде так, учитель проверил, сказал, что правильно)
Приложения:
Вас заинтересует