Ответы
Ответ дал:
0
эт легко вот я думую правильно ответ будет 3.95
Приложения:

Ответ дал:
0
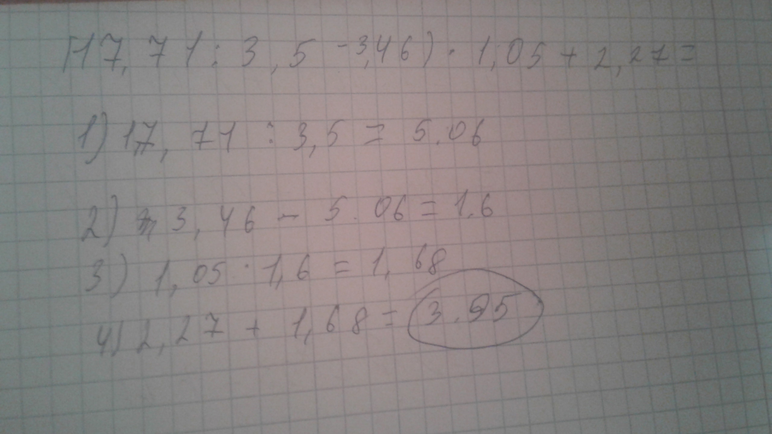
1) 17,71:3,5=5,06
2) 5,06-3,46=1,6
3) 1,6*1,05=1,68
4) 1,68+2,27=3,95
Ответ: 3,95
2) 5,06-3,46=1,6
3) 1,6*1,05=1,68
4) 1,68+2,27=3,95
Ответ: 3,95
Приложения:

Вас заинтересует
2 года назад
2 года назад
7 лет назад
7 лет назад
9 лет назад
9 лет назад
10 лет назад