• Предмет: Математика
  • Автор: Джудиэнжелос
  • Вопрос задан 9 лет назад

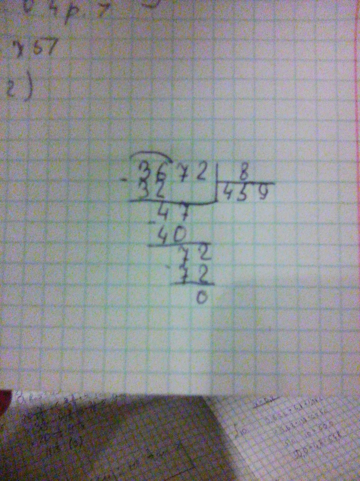
3672:8 в столбик помогити пазязя

Ответы

Ответ дал: КатяКольцова
0
На держи) Еще что-то?
Приложения:
Ответ дал: КатяКольцова
0
нет
Ответ дал: КатяКольцова
0
548
Ответ дал: КатяКольцова
0
без Остатка
Ответ дал: Аноним
0
при первом/ 9 умножается на 5, получается 45, дальше 9*4= 36, 9*8= 79-72= 7 .. (остаток)
Ответ дал: Аноним
0
без остатка никак
Вас заинтересует