• Предмет: Алгебра
  • Автор: JessCo
  • Вопрос задан 10 лет назад

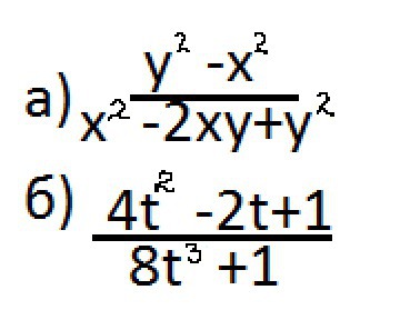
Сократите дробь.
Буду благодарна.

Приложения:

Ответа на этот вопрос пока нет. Попробуйте найти его через форму поиска.

Вас заинтересует