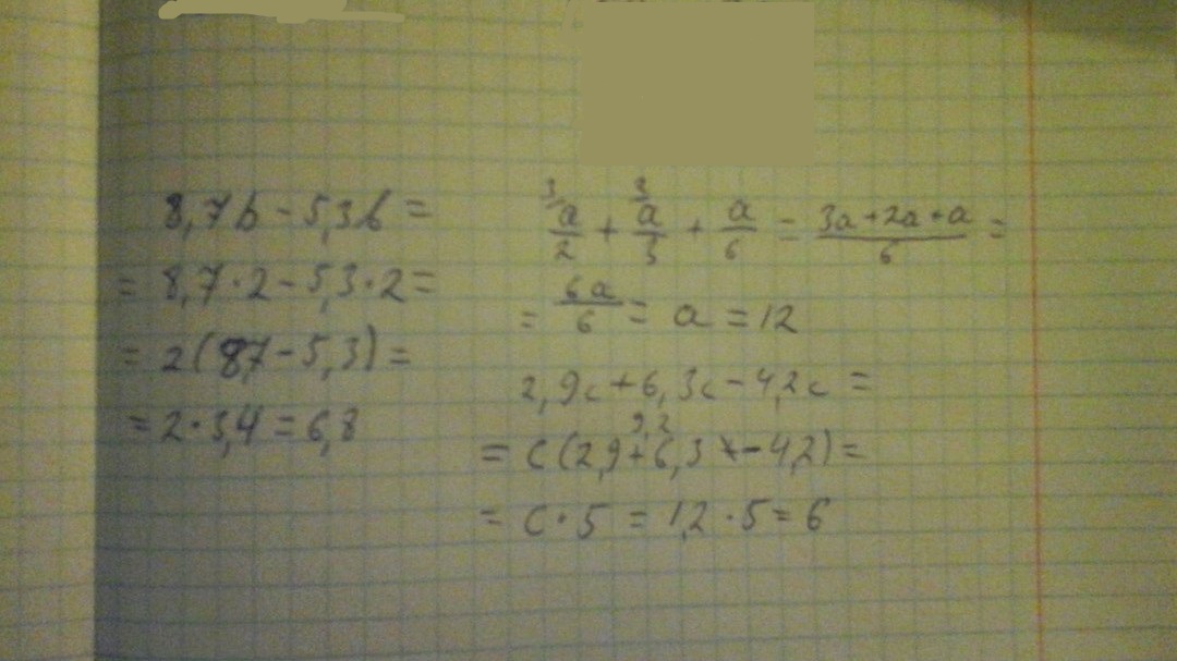
Ребят очень сильно нужно, помогите : Упростите выражения и найдите его значение : 8,7 b - 5,3 b при b=2, 1/2 a +1/3 a + 1/6 a при a =12 , 2,9c+6,3c - 4,2 c при c = 1,2
Ответы
Ответ дал:
0
Извини, что качество плохое
Приложения:

Вас заинтересует
2 года назад
2 года назад
7 лет назад
9 лет назад
9 лет назад
10 лет назад
10 лет назад