Ответы
Ответ дал:
0
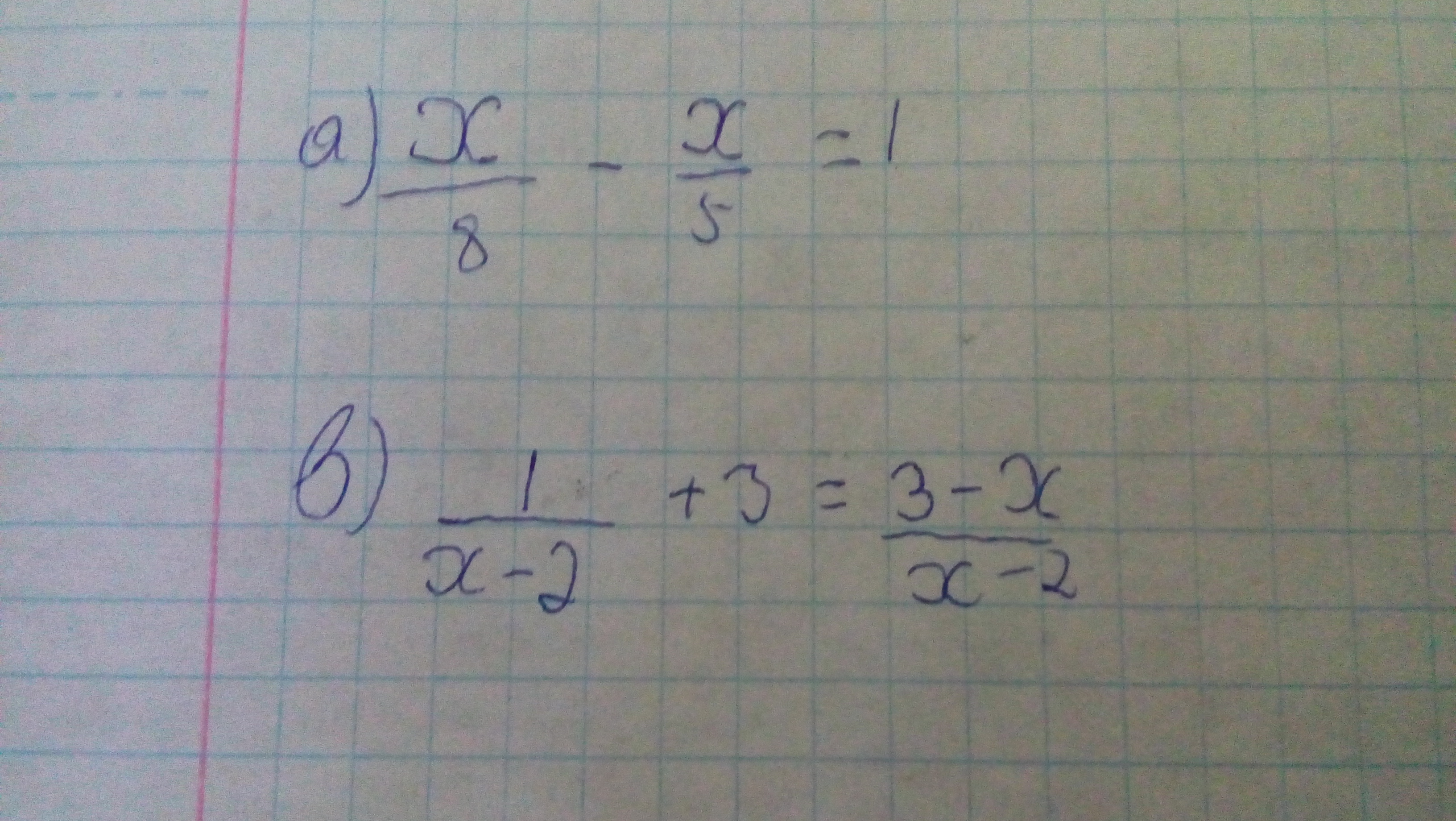
а) x/8-x/5=1
5x-8x=40
-3x=40
x=-40/3
б) 1/(x-2)+3=(3-x)/(x-2)
x не равно 2
1+3x-6-3+x=0
4x=8
x=8/4
Корней нет
5x-8x=40
-3x=40
x=-40/3
б) 1/(x-2)+3=(3-x)/(x-2)
x не равно 2
1+3x-6-3+x=0
4x=8
x=8/4
Корней нет
Вас заинтересует
3 года назад
3 года назад
8 лет назад
8 лет назад
10 лет назад
10 лет назад