Ответы
Ответ дал:
0
(а^2+b^2)/(a^2-b^2) - (a-b)/(a+b) =
=(а^2+b^2)/(a^2-b^2) - (a-b)^2/((a+b)(a-b)) =
= [(а^2+b^2) - (a-b)^2]/(a^2 - b^2) =
= [а^2+b^2 - a^2 + 2ab - b^2]/(a^2 - b^2) =
= 2ab/(a^2-b^2)
Ответ дал:
0
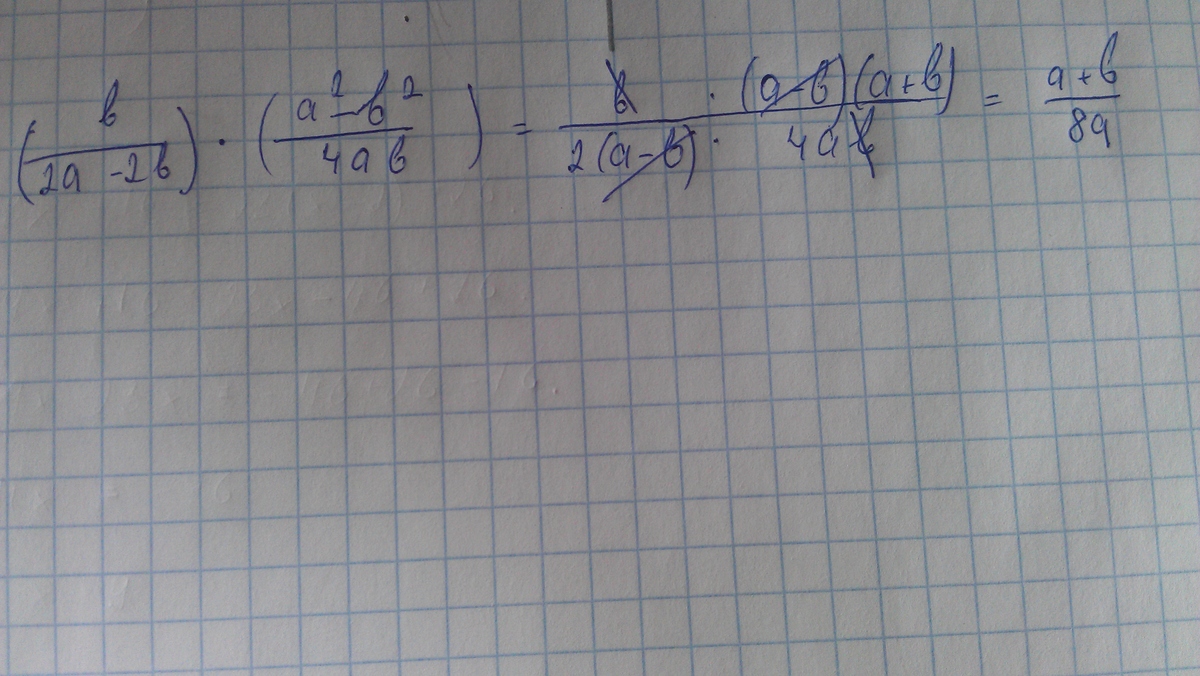
Вроде так должно быть, Выносим, преобразуем и сокращаем
Приложения:

Вас заинтересует
2 года назад
2 года назад
8 лет назад
8 лет назад
10 лет назад
10 лет назад
10 лет назад