Ответы
Ответ дал:
0
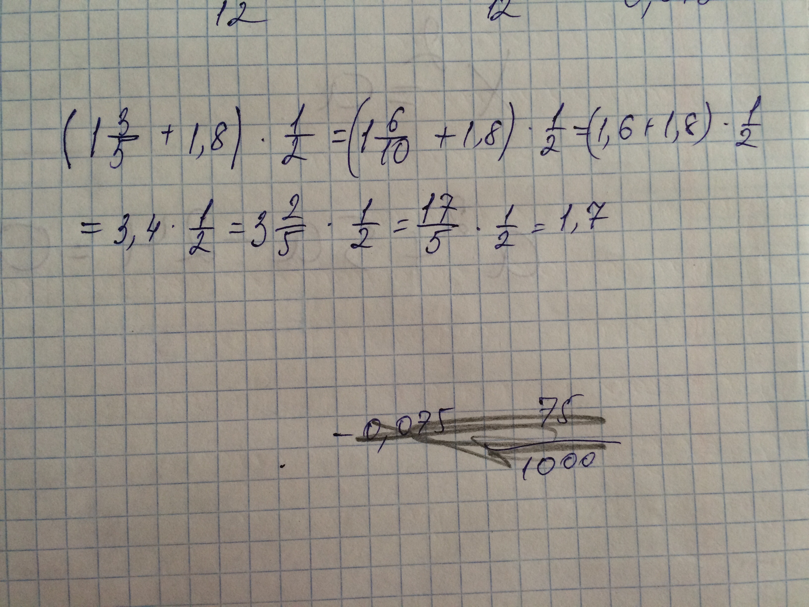
Вот я решила это легко
Приложения:

Ответ дал:
0
думаю что решение такое
1 целая 3/5=16
16+1,8=17,8
17 разделить на 1/2 = 8,9
ответ: 8,9
1 целая 3/5=16
16+1,8=17,8
17 разделить на 1/2 = 8,9
ответ: 8,9
Приложения:

Вас заинтересует
2 года назад
2 года назад
7 лет назад
9 лет назад
9 лет назад