Даю 20 баллов ,помогите молю
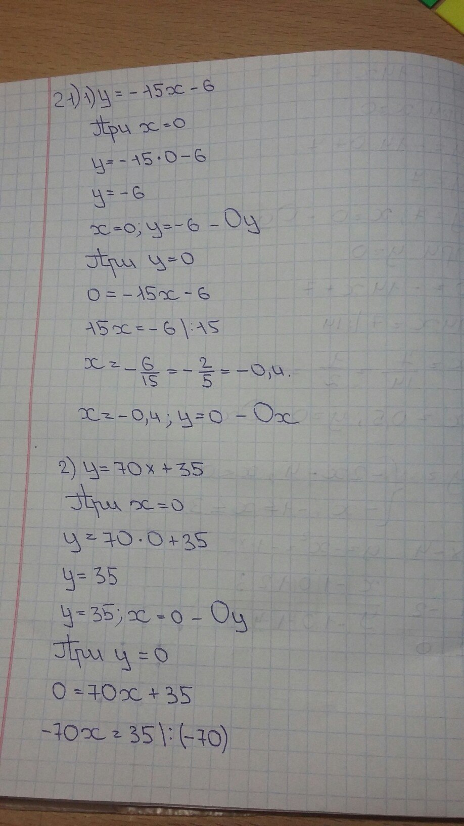
Найдите координаты точек пересечения с осями координат
1)y=-15x-6
2)y=70x+35
Ответы
Ответ дал:
0
Вот как то так, удачи .орпмиреаасмиигпмгпснспнаснмпнпмнмепм
Приложения:

Вас заинтересует
2 года назад
7 лет назад
7 лет назад
9 лет назад
9 лет назад