• Предмет: Алгебра
  • Автор: irisha071119
  • Вопрос задан 10 лет назад

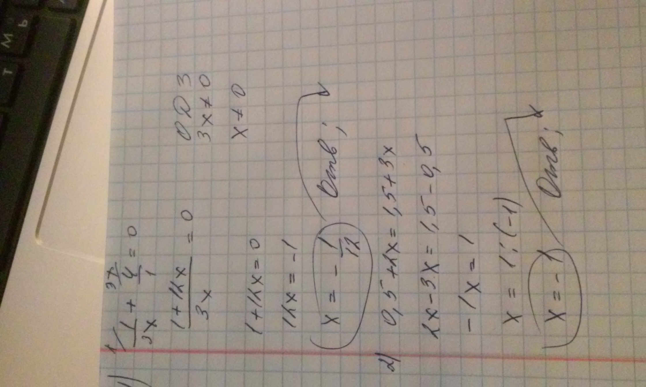
решите уравнение . 1) 1/3x +4 =0. 2) 0,5+2x=1,5+3x. помогите срочно нужно!!!!!!

Ответы

Ответ дал: ШереметИрина
0
)))))))))))))))))))))))))))))))))))))))))))))))))))))))))))))))))))))))))))))))))))))))))))
Приложения:
Ответ дал: nnoenonoeon
0
http://znanija.com/task/19353520
Ответ дал: nnoenonoeon
0
помогите пожалуйста,буду благодарен
Ответ дал: kratgv
0
1) 1/3·x +4 =0.
1/3·х=-4
х=-4:1/3
х=-4·3
х=-12

2) 0,5+2x=1,5+3x.
2х-3х=1,5-0,5
-х=1
х=-1
Приложения:
Ответ дал: irisha071119
0
вы 1пример решали как 1 дробь 3?
Ответ дал: irisha071119
0
?????
Ответ дал: kratgv
0
да, хотя как ты записал, то надо 1 дробь 3х, как и решила ШереметИрина
Вас заинтересует