• Предмет: Алгебра
  • Автор: BLAzER86
  • Вопрос задан 9 лет назад

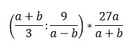
Помогите упростить выражение

Приложения:

Ответы

Ответ дал: Змей24
0
(a-b)(a+b):27 * 27a/(a+b) = (a-b)*a
Ответ дал: maximkm
0
(a+b/3:9/a-b)*27/a+b=(a+b/3*a-b/9)*27a/a+b=a^2-b^2/27*27a/a+b=(a-b)*a=a^2-ab
Вас заинтересует