• Предмет: Физика
  • Автор: Шуренция
  • Вопрос задан 11 лет назад

что такое "определение КПД наклонной плоскости"?

Ответы

Ответ дал: евдокименкова
0

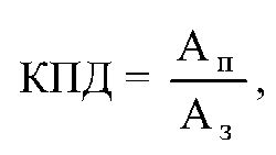
Где Ап - полезная работа, необходимая для достижения поставленной цели, а АЗ - работа, затраченная нами на приведения механизма в действие. Из-за действия силы трения и других факторов, затраченная работа всегда больше полезной

Приложения:
Вас заинтересует