Ответы
Ответ дал:
0
гггггггггггггггггггггггггггг х=56
Приложения:

Ответ дал:
0
х=56
Ответ дал:
0
Ответ:y=56
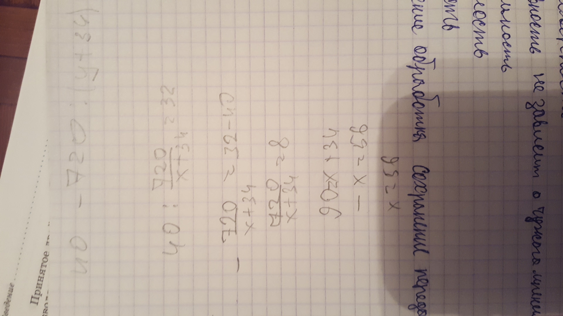
40-720/y+34=32
40-720/y+34=32, y~-34
-720/y+34=32-40
-720/y+34=-8
720=-8y-272
8y=448
y=56, y~-34
40-720/y+34=32
40-720/y+34=32, y~-34
-720/y+34=32-40
-720/y+34=-8
720=-8y-272
8y=448
y=56, y~-34
Приложения:

Вас заинтересует
2 года назад
2 года назад
7 лет назад
9 лет назад
9 лет назад
10 лет назад
10 лет назад