• Предмет: Алгебра
  • Автор: фатима138
  • Вопрос задан 10 лет назад

Пожалуйста Помогите решить пример Заранее спасибо

Приложения:

Ответы

Ответ дал: sedinalana
0
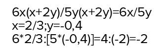
6x(x+2y)/5y(x+2y)=6x/5y
x=2/3;y=-0,4
6*2/3:[5*(-0,4)]=4:(-2)=-2
Ответ дал: фатима138
0
ответ -2
Ответ дал: гоха16
0
помойму вот так лрппопг
Приложения:
Вас заинтересует