• Предмет: Геометрия
  • Автор: DashaZaitseva
  • Вопрос задан 11 лет назад

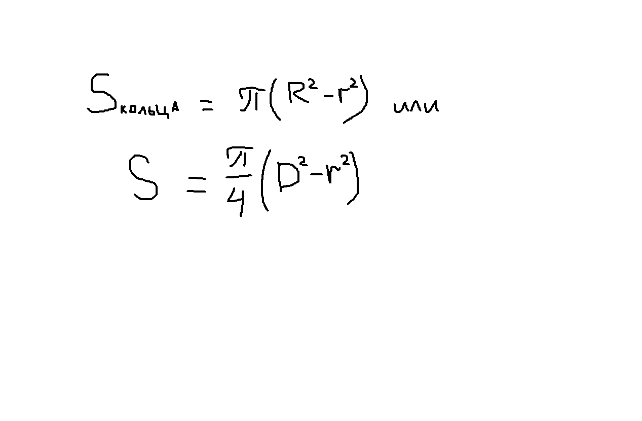
У меня на пробном была задача по геометрии: радиус круга 3см, а радиус кольца 5 см, найти площадь кольца, я решила по формуле S=ПRв квадрате и получила 25, а как решили бы вы? хочу удостовериться

Ответы

Ответ дал: Необычная
0

Формулу которую ты написала, это площадь нахождения круга. А формулы по которым можно расчитать площадь кольца я написала во вложении.

Смотри вторую картинку. Красны заштрихова на площать 1-круг 2- кольцо. Вот и разница.

 

 

Приложения:
Вас заинтересует