• Предмет: Алгебра
  • Автор: TheArinaStepanenko
  • Вопрос задан 10 лет назад

Срочно!!!
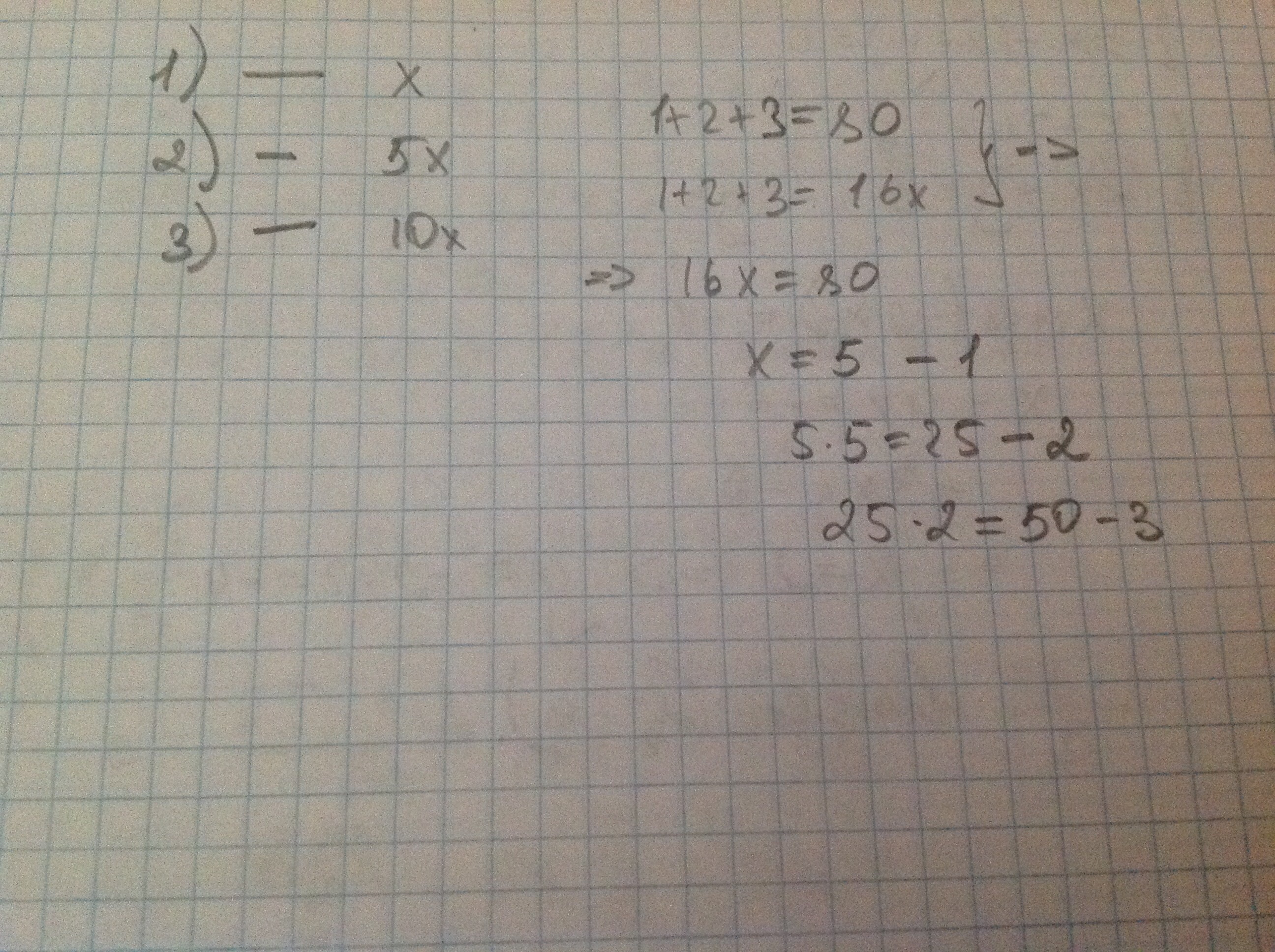
Первое число в 5 раз больше второго и в 2 раза меньше третьего, сумма чисел 80. Найдите эти числа.

Ответы

Ответ дал: Аllех
0
Вроде, всё понятно.
Приложения:
Вас заинтересует