Ответы
Ответ дал:
0
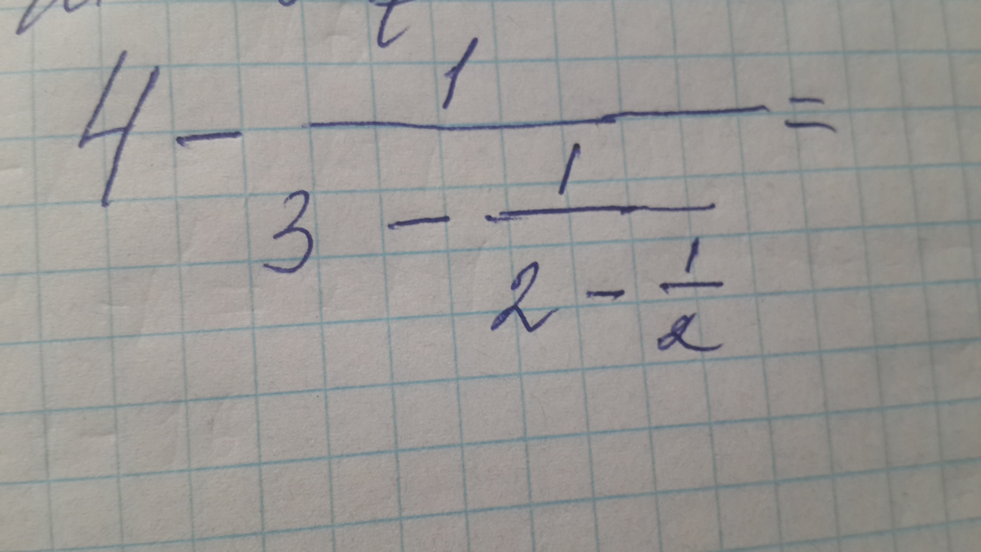
3-1/2-1/2=2 1/3
1)2-1/2=1 2/2-1/2=1 1/2=1,5
2)1: 1,5=1:1 5/10=1*10/15=2/3
3)3-2/3=2 3/3-2/3=2 1/3
4-1/2 1/3=3 4/7
1)1:2 1/3=1*3/7=3/7
2)4-3/7=3 7/7-3/7=3 4/7
1)2-1/2=1 2/2-1/2=1 1/2=1,5
2)1: 1,5=1:1 5/10=1*10/15=2/3
3)3-2/3=2 3/3-2/3=2 1/3
4-1/2 1/3=3 4/7
1)1:2 1/3=1*3/7=3/7
2)4-3/7=3 7/7-3/7=3 4/7
Вас заинтересует
3 года назад
3 года назад
8 лет назад
10 лет назад
10 лет назад
10 лет назад