Ответы
Ответ дал:
0
// - дробь
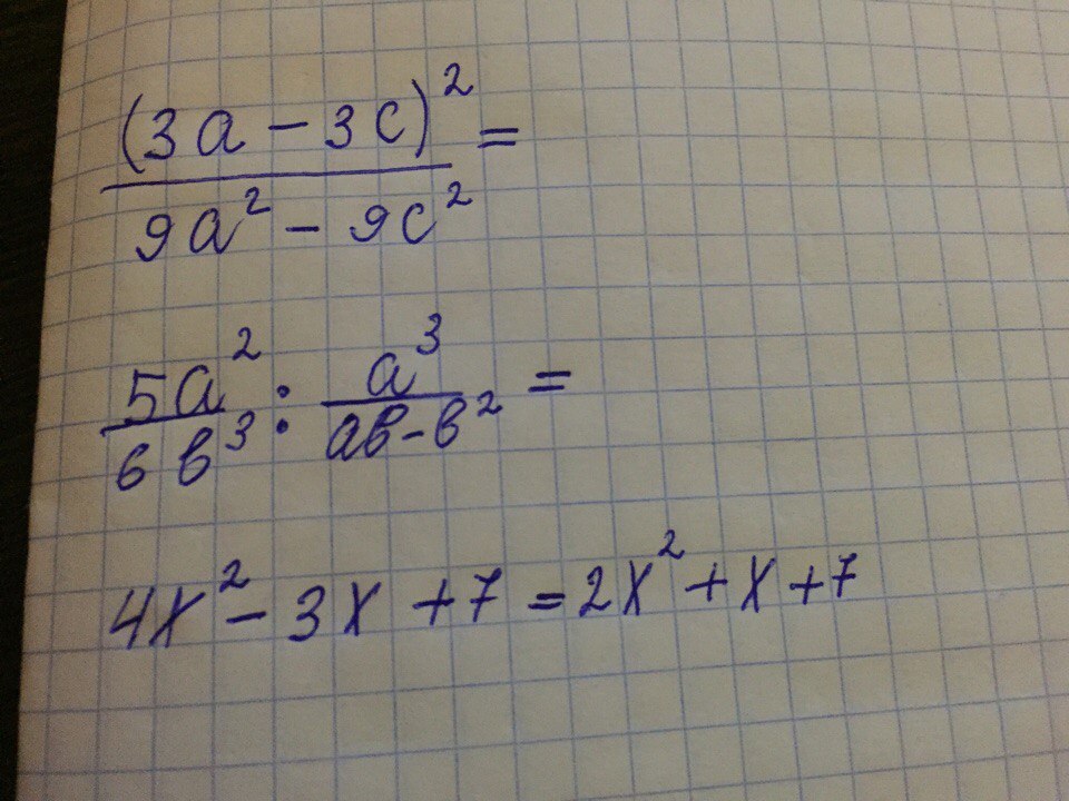
(3а-3c)^2//9a^2-9c^2=(3a-3c)^2//(3a-3c)(3a+3c)=3a-3c//3a+3c=3(a-c)//3(a+c)=a-c//a+c
5a^2//6b^3 : a^3//ab-b^2=5a^2(ab-b^2)//6b^3*a^3=5ab-5b^2//6ab^3=b(5a-5b)//6ab^3=5a-5b//6ab^2
4x^2-3x+7=2x^2+x+7
4x^2-3x-2x+x=7-7
2x^2-2x=0
2x(x-1)=0
2x=0 x-1=0
x=0 x=1
ответ: х1=0, х2=1
(3а-3c)^2//9a^2-9c^2=(3a-3c)^2//(3a-3c)(3a+3c)=3a-3c//3a+3c=3(a-c)//3(a+c)=a-c//a+c
5a^2//6b^3 : a^3//ab-b^2=5a^2(ab-b^2)//6b^3*a^3=5ab-5b^2//6ab^3=b(5a-5b)//6ab^3=5a-5b//6ab^2
4x^2-3x+7=2x^2+x+7
4x^2-3x-2x+x=7-7
2x^2-2x=0
2x(x-1)=0
2x=0 x-1=0
x=0 x=1
ответ: х1=0, х2=1
Ответ дал:
0
Спасибо огромное тебе
Вас заинтересует
2 года назад
2 года назад
7 лет назад
7 лет назад
10 лет назад
10 лет назад
10 лет назад