Ответы
Ответ дал:
0
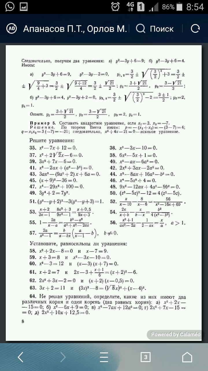
№62 уравнения равносильны, т.к. они имеют одинаковые корни
если первое решить дискриминантом, то то корни -2 и 0,5 и второе уравнение имеет те же корни каждую скобку приравнять к нулю
Д=9+16=25
х1=(-3+5)/4=0,5 х2=(-3-5)/4=-2
х+2=0 х-0,5=0
х=-2 х=0,5
если первое решить дискриминантом, то то корни -2 и 0,5 и второе уравнение имеет те же корни каждую скобку приравнять к нулю
Д=9+16=25
х1=(-3+5)/4=0,5 х2=(-3-5)/4=-2
х+2=0 х-0,5=0
х=-2 х=0,5
Вас заинтересует
3 года назад
3 года назад
8 лет назад
8 лет назад
10 лет назад
10 лет назад
10 лет назад
10 лет назад