• Предмет: Алгебра
  • Автор: AnelyK
  • Вопрос задан 9 лет назад

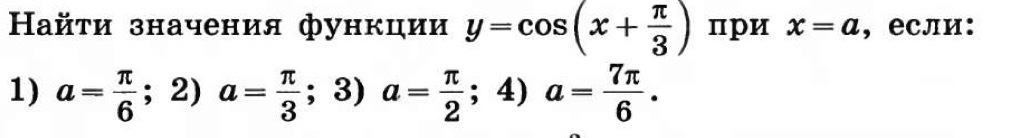
Помогите, очень нужно. Даю 40 баллов

Приложения:

Ответа на этот вопрос пока нет. Попробуйте найти его через форму поиска.

Вас заинтересует