Ответы
Ответ дал:
0
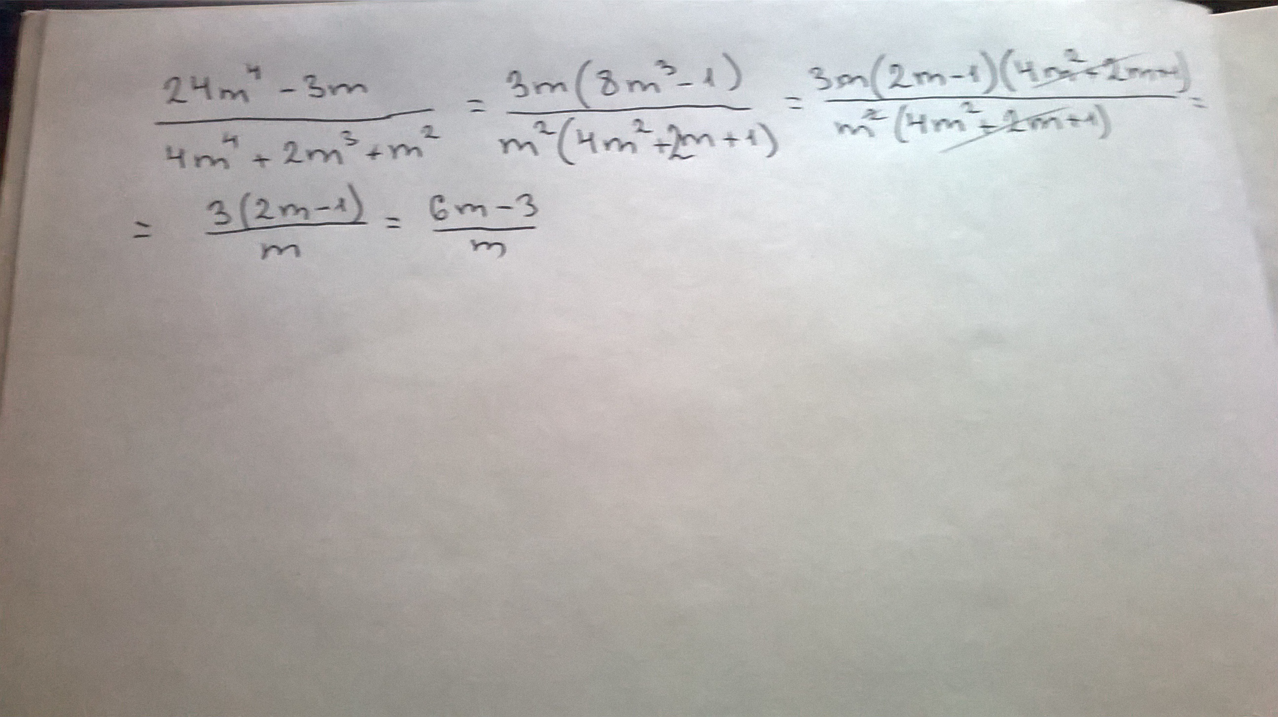
числитель= 24m^4 - 3m = 3m(8m^3 -1)= 3m(2m -1)(4m^2 +2m +1)
знаменатель = 4m^4 + 2m^3 + m^2 = m^2(4m^2 + 2m +1)
видно, что можно сократить на m(4m^2 + 2m +1)
Ответ : m(2m -1)
знаменатель = 4m^4 + 2m^3 + m^2 = m^2(4m^2 + 2m +1)
видно, что можно сократить на m(4m^2 + 2m +1)
Ответ : m(2m -1)
Ответ дал:
0
в числителе 3 потерялась, m будет в знаменателе
Ответ дал:
0
см фото......................
Приложения:
Вас заинтересует
3 года назад
3 года назад
8 лет назад
10 лет назад
10 лет назад
10 лет назад