• Предмет: Алгебра
  • Автор: tayatayaa
  • Вопрос задан 11 лет назад

помогите пожалуйста!)

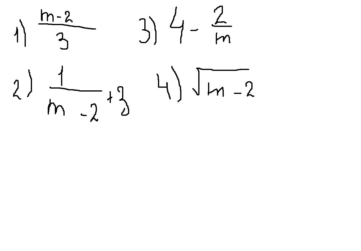
укажите выражение, которое имеет смысл при всех значениях m.

Приложения:

Ответы

Ответ дал: KateX3
0

Это выражение под номером 1.
2. m не равен 2
3. m  не равен 0
4. m  болеше или равен  2

Вас заинтересует