• Предмет: Физика
  • Автор: radharanios
  • Вопрос задан 10 лет назад

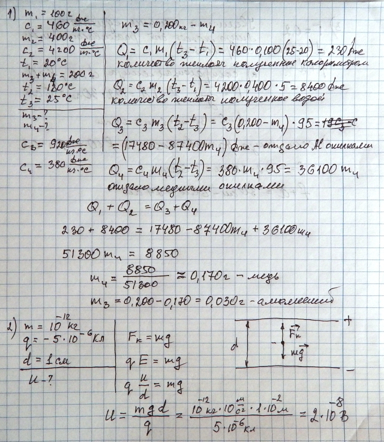
Помогите пожалуйста, очень вас прошу:1) В стальном калориметре массой 100 грамм есть 400 грамм воды при 20 градусах по Цельсию. В калориметр бросают медные и алюминиевые опилки общей массой 200 грамм и температурой 120 градусов по Цельсию. В результате теплообмена, температура воды поднимается до 25 градусов по Цельсию. Определите массу алюминия и меди в смеси
2) Между параллельными заряжёнными пластинами , расположенными горизонтально, удерживается в равновесии пылинка массой 10 в -12 степени кгс зарядом -5*10 в 6 степени.Определите разность потенциалов между пластинами, если расстояние между ними 1 см.Сделайте поясняющий рисунок
3) Увеличение изображения предмета равно 0,2. Расстояние между предметом и линзой 30 см.Определите расстояние между предметом и изображением . Рассмотрите все возможные случаи.

Ответы

Ответ дал: cvvkl
0
Решение смотри на фотографиях
Приложения:
Вас заинтересует