• Предмет: Алгебра
  • Автор: Аноним
  • Вопрос задан 9 лет назад

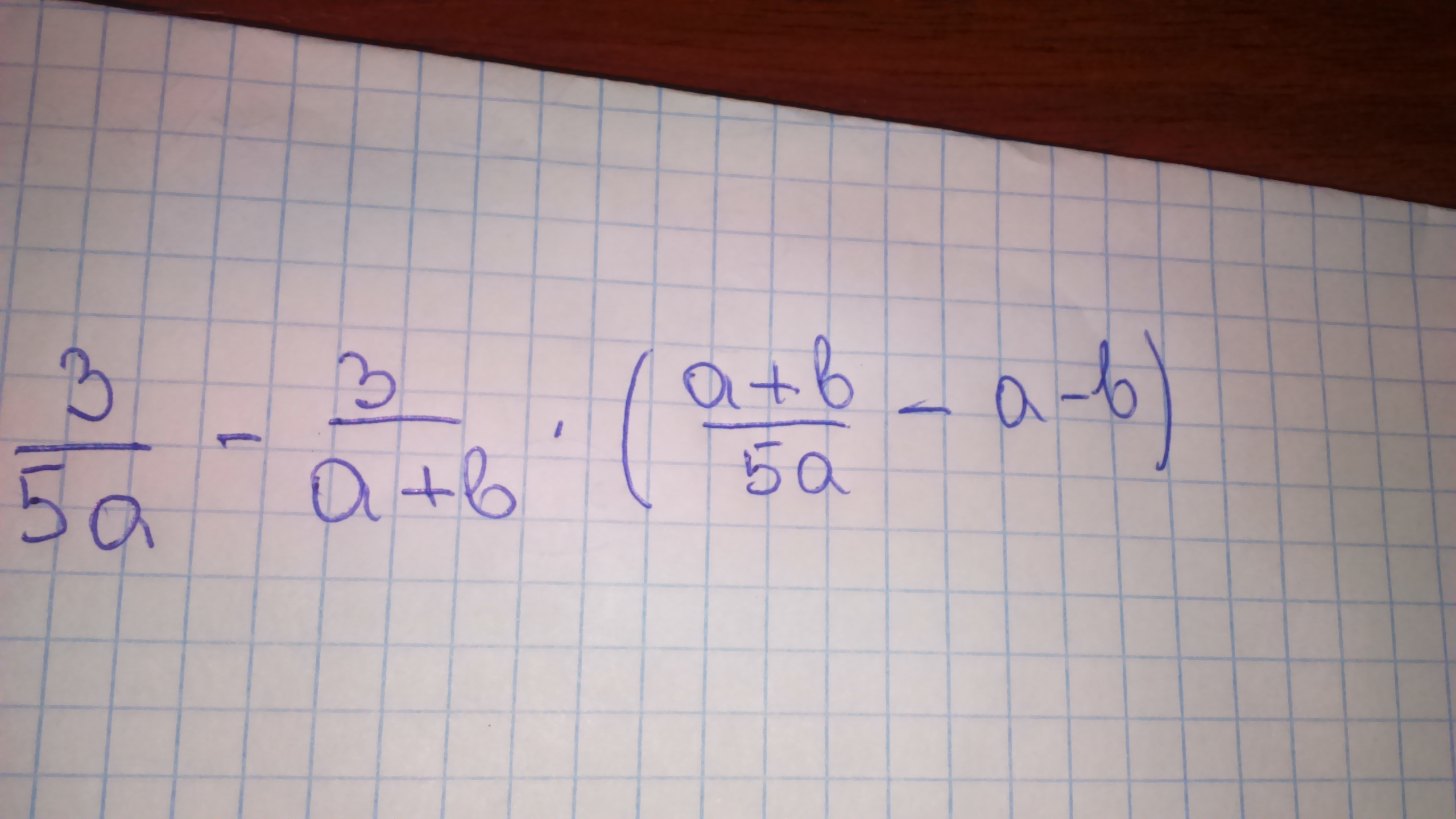
Помогите забыл как решать (РЕШЕНИЕ НА ЛИСТОЧКЕ)!!

Приложения:

Ответы

Ответ дал: Regent1828
0
 frac{3}{5a}- frac{3}{a+b}*( frac{a+b}{5a}-a-b)= frac{3}{5a}- frac{3}{5a}+ frac{3a}{a+b}+ frac{3b}{a+b}= \  \ = frac{3a+3b}{a+b}= frac{3(a+b)}{a+b}=3
Ответ дал: Аноним
0
надеюсь правильно
Ответ дал: Regent1828
0
Что тут может быть неправильно???
Ответ дал: Аноним
0
Спосибо
Ответ дал: Regent1828
0
Да не за что..)))
Вас заинтересует