• Предмет: Геометрия
  • Автор: Аноним
  • Вопрос задан 10 лет назад

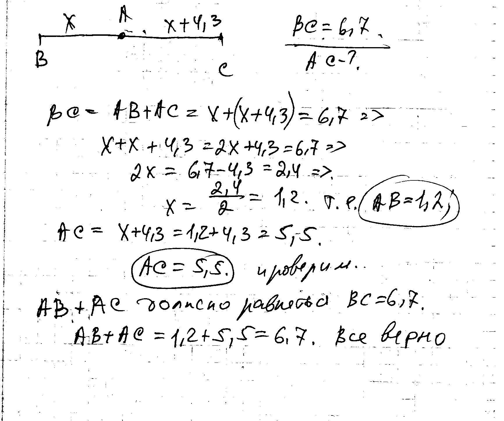
Точки А, В, С лежат на одной прямой. Точка А лежит между точками В и С. АВ=x,АС=x+4,3;ВС=6,7 найдите длину отрезка АС

Ответы

Ответ дал: ужнеужели
0
решение в скане..........
Приложения:
Ответ дал: эльза53
0
спасибо)
Ответ дал: ужнеужели
0
Удачи Вам
Вас заинтересует