• Предмет: Алгебра
  • Автор: ninelei
  • Вопрос задан 9 лет назад

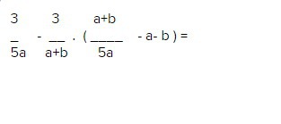
Помогите решить пожалуйста, срочно, на завтра

Приложения:

Ответы

Ответ дал: peterand
0

 Решение приложено в файле docx.

Приложения:
Ответ дал: ninelei
0
большое спасибо
Вас заинтересует