• Предмет: Математика
  • Автор: fkjgjtchernykh
  • Вопрос задан 9 лет назад

ПОМОГИТЕ ПОЖАЛУЙСТА♥
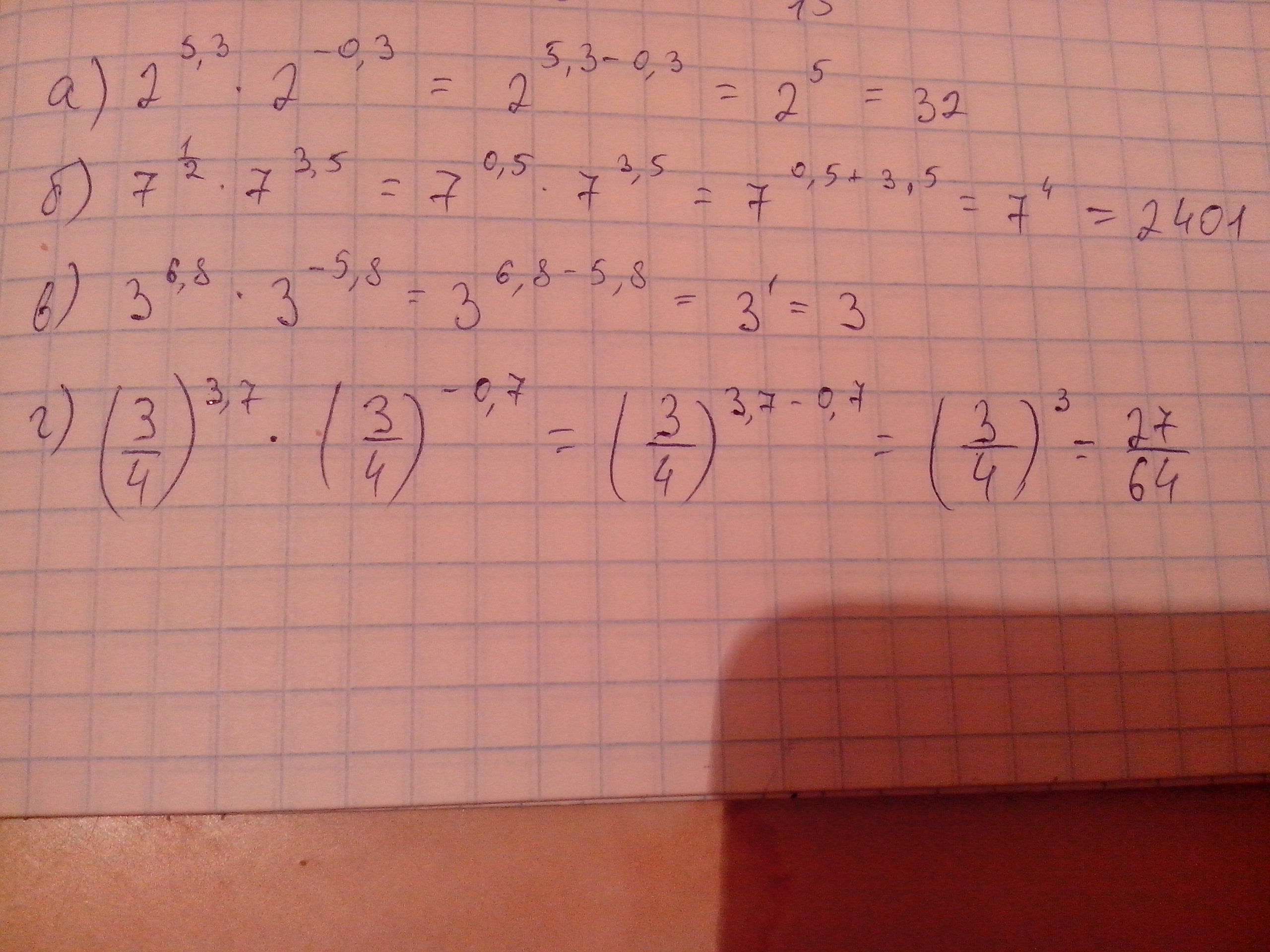
а) 2^5,3*2^-0,3
б) 7^1/2*7^3,5
в) 3^6,8*3^-5,8
г) (3/4)^3,7*(3/4)^-0,7

Ответы

Ответ дал: kisonix
0
.........................
Приложения:
Вас заинтересует