Пределы
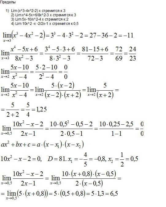
1) Lim (x^3-4x^2-2) x стремится к 3
2) Lim x^4-5x+6/8x^2-3 x стремится к 3
3) Lim 5x-10/x^2-4 x стремится к 2
4) Lim 10x^2 -x -2/2x-1 x стремится к 0,5
Ответы
Ответ дал:
0
решение во вложении------------------------
Приложения:

Вас заинтересует
2 года назад
2 года назад
7 лет назад
7 лет назад
9 лет назад
10 лет назад