Ответы
Ответ дал:
0
============================================================
Приложения:

Ответ дал:
0
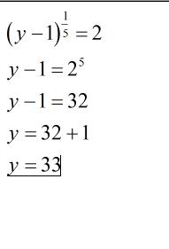
корень кв.изу-1=2 , у-1=4, у=5
Приложения:

Вас заинтересует
2 года назад
2 года назад
8 лет назад
8 лет назад
10 лет назад
10 лет назад
10 лет назад