• Предмет: Алгебра
  • Автор: shevckarina13
  • Вопрос задан 9 лет назад

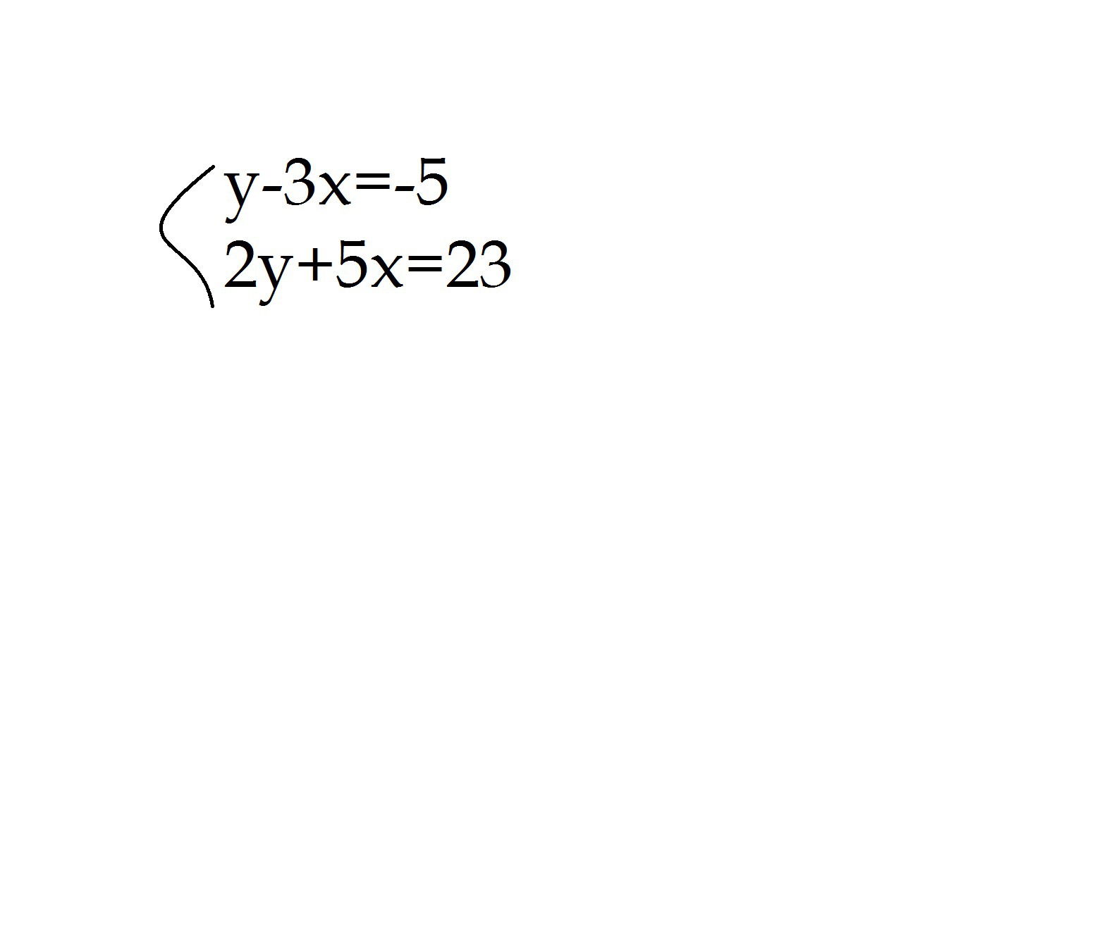
ПОМОГИТЕ РЕШИТЬ СИСТЕМУ ЛИЛЕЙНОГО УРАВНЕНИЯ
у-3х=-5
2у+5х=23

Приложения:

Ответа на этот вопрос пока нет. Попробуйте найти его через форму поиска.

Вас заинтересует