• Предмет: Алгебра
  • Автор: Happystudent
  • Вопрос задан 10 лет назад

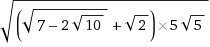
Упростить. С решением.

Приложения:

Ответа на этот вопрос пока нет. Попробуйте найти его через форму поиска.

Вас заинтересует