• Предмет: Математика
  • Автор: filatenkovam
  • Вопрос задан 10 лет назад

ПОМОГИТЕ,УМОЛЯЮ!Хотя бы последнее

Приложения:

Ответы

Ответ дал: SpaceTab
0
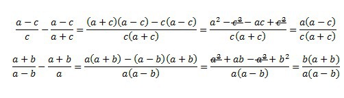
В прикрепленном изображении решение
Приложения:
Ответ дал: filatenkovam
0
Спасибо огромное,вы меня спасли!!))
Вас заинтересует