Ответы
Ответ дал:
0
1
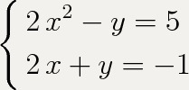
{2x²-y=5
{2x+y=-1
прибавим
2x²+2x=4
x²+x-2=0
x1+x2=-1 U x1*x2=-2
x1=-2⇒-4+y=-1⇒y=3
x2=1⇒2+y=-1⇒y=-3
Ответ (-2;3);(1;-3)
2
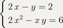
{2x-y=2
{2x²-xy=6⇒x(2x-y)=6⇒x*2=6⇒x=3
6-y=2⇒y=4
Ответ (3;4)
3
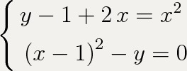
{y-1+2x=x²⇒y=x²-2x+1⇒y=(x-1)²
{(x-1)²-y=0⇒y=(x-1)²
Ответ x∈(-∞;∞),y∈[0;∞)
4
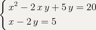
{x²-2xy+5y=20⇒x(x-2y)+5y=20⇒5x+5y=20⇒x+y=4⇒x=4-y
{x-2y=5
4-y-2y=5
-3y=1
y=-1/3
x=4+1/3=4 1/3
Ответ (4 1/3;-1/3)
5
{x²-3xy+5y²=1
{x=5+2y
(5+2y)²-3y(5+2y)+5y²-1=0
25+20y+4y²-15y-6y²+5y²-1=0
3y²+5y+24=0
D=5-288=-283<0
Ответ нет решения
{2x²-y=5
{2x+y=-1
прибавим
2x²+2x=4
x²+x-2=0
x1+x2=-1 U x1*x2=-2
x1=-2⇒-4+y=-1⇒y=3
x2=1⇒2+y=-1⇒y=-3
Ответ (-2;3);(1;-3)
2
{2x-y=2
{2x²-xy=6⇒x(2x-y)=6⇒x*2=6⇒x=3
6-y=2⇒y=4
Ответ (3;4)
3
{y-1+2x=x²⇒y=x²-2x+1⇒y=(x-1)²
{(x-1)²-y=0⇒y=(x-1)²
Ответ x∈(-∞;∞),y∈[0;∞)
4
{x²-2xy+5y=20⇒x(x-2y)+5y=20⇒5x+5y=20⇒x+y=4⇒x=4-y
{x-2y=5
4-y-2y=5
-3y=1
y=-1/3
x=4+1/3=4 1/3
Ответ (4 1/3;-1/3)
5
{x²-3xy+5y²=1
{x=5+2y
(5+2y)²-3y(5+2y)+5y²-1=0
25+20y+4y²-15y-6y²+5y²-1=0
3y²+5y+24=0
D=5-288=-283<0
Ответ нет решения
Вас заинтересует
2 года назад
2 года назад
7 лет назад
10 лет назад
10 лет назад
10 лет назад