Ответы
Ответ дал:
0
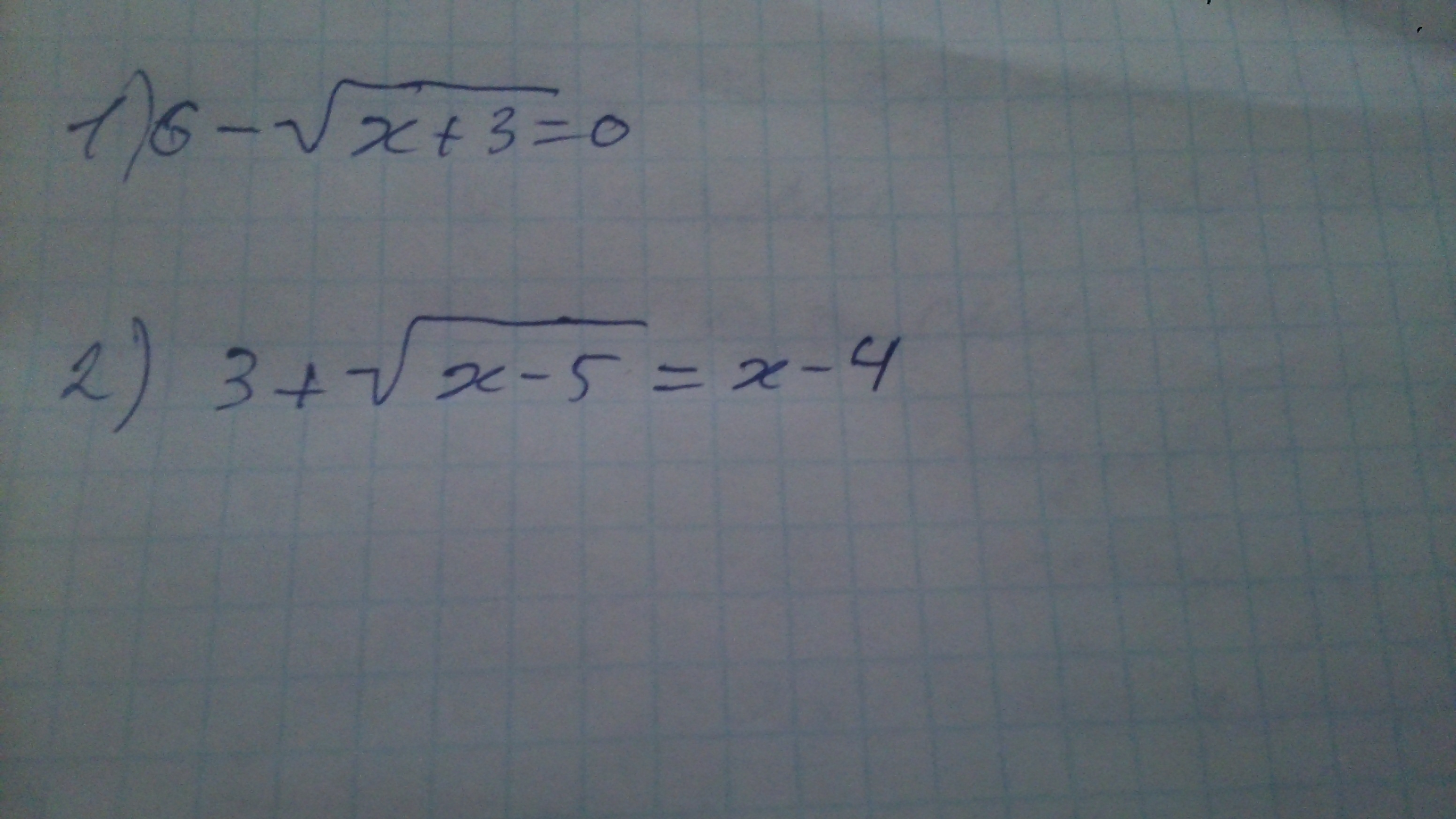
3+√x-5=x-4
(√x-5)²=(x-7)²
x-5=x²-14x+49
15x-x²-54=0
корни 6и9
x=6; 3+√6-5=6-4 неверно
x=9; 3+√9-5=9-4 верно
Ответ:9
(√x-5)²=(x-7)²
x-5=x²-14x+49
15x-x²-54=0
корни 6и9
x=6; 3+√6-5=6-4 неверно
x=9; 3+√9-5=9-4 верно
Ответ:9
Вас заинтересует
3 года назад
8 лет назад
10 лет назад