• Предмет: Алгебра
  • Автор: ИнгаВладыцкая
  • Вопрос задан 11 лет назад

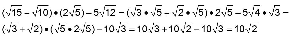
(Корень из 15+ корень из 10)* на 2 корня из 5-5 корней из 12. Как упростить выражение.

Ответы

Ответ дал: burvic
0

Чтобы не заморачиваться с написанием формул словами, прикладываю вложение с решением.

Приложения:
Ответ дал: ученик0111
0

(V15+V10) *2V5 - 5V12 = (V5 * V3+V5 * V2) * 2V5 - 5V4*V3 = (V3+V2) * 2V5*V5 - 10V3 = (V3+V2)*10-10V3 = 10V3+10V2-10V3 = 10V2

V-корень

Приложения:
Вас заинтересует