• Предмет: Математика
  • Автор: nastasyann144
  • Вопрос задан 9 лет назад

Ребят, срочно, помогите решить неравенства, пожалуйста. подчеркнуты 

Приложения:

Ответы

Ответ дал: coollimit
0
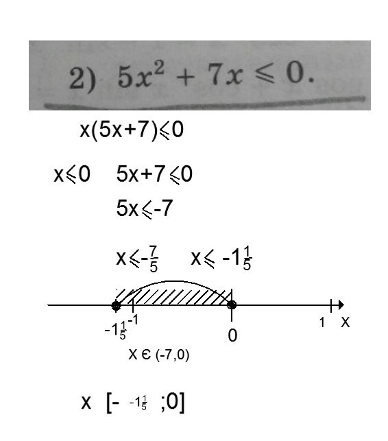
Вот решение. На картинке все показано
Приложения:
Вас заинтересует