• Предмет: Математика
  • Автор: shsk0193
  • Вопрос задан 11 лет назад

Помогите пжл срочно!!! Оч надо!хоть немного!!

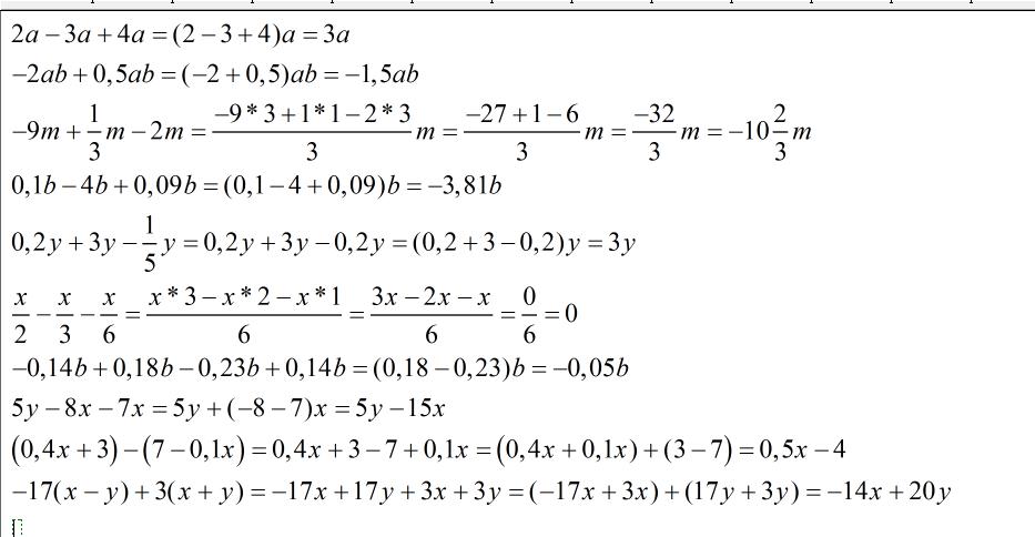
Приложения:

Ответы

Ответ дал: triolana
0

===========================================================

Приложения:
Вас заинтересует