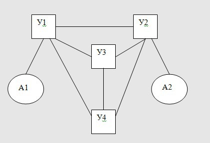
. Укажите все возможные варианты прохождения сообщения от абонента A1 до абонента A2 для приведённой ниже архитектуры глобальной сети.
Приложения:
Ответы
Ответ дал:
0
А1 - У1 - У2 - А2
А1 - У1 - У3 - У2 - А2
А1 - У1 - У3 - У4 - У2 - А2
А1 - У1 - У4 - У3 - У2 - А2
А1 - У1 - У4 - У2 - А2
Вас заинтересует
2 года назад
2 года назад
7 лет назад
7 лет назад
10 лет назад