Ответы
Ответ дал:
0
Все просто) перемножаешь то, что в скобках, помнишь о том, что минус на минус дают плюс и дальше вроде все понятно)
Приложения:
Ответ дал:
0
спасибо
Ответ дал:
0
и 5 обьясни пожалуйста
Ответ дал:
0
я не помню что такие скобки значат
Ответ дал:
0
ладно спасибо
Ответ дал:
0
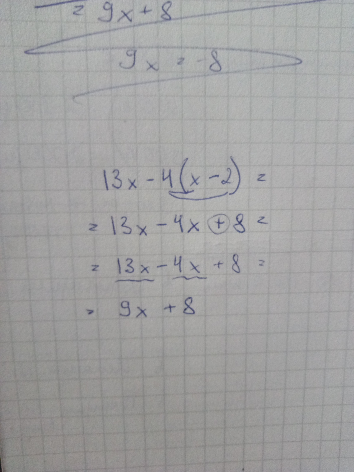
13х - 4(х - 2);
Чтобы раскрыть скобки, надо умножить число на числа в скобках:
13х - 4х + 8;
Если мы умножаем отрицательное число на отрицательное, то надо просто перемножить эти числа (минус на минус дает плюс);
9х + 8;
Ответ: 9х + 8.
Чтобы раскрыть скобки, надо умножить число на числа в скобках:
13х - 4х + 8;
Если мы умножаем отрицательное число на отрицательное, то надо просто перемножить эти числа (минус на минус дает плюс);
9х + 8;
Ответ: 9х + 8.
Приложения:
Вас заинтересует
2 года назад
2 года назад
7 лет назад
7 лет назад
10 лет назад
10 лет назад
10 лет назад