• Предмет: Математика
  • Автор: ilyadub2017
  • Вопрос задан 10 лет назад

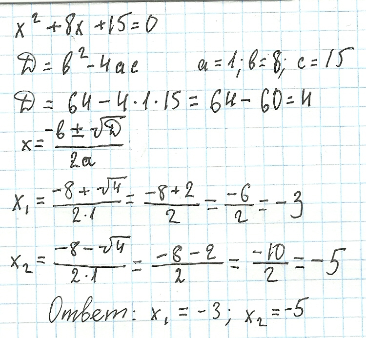
 x^{2} +8x+15=0
Спасибо

Ответы

Ответ дал: koreec3
0
Д=64-4*15=4
x1=-8+4/2=-4/2=-2
x2=-8-4/2=-12/2=-6
Ответ дал: кристя09
0
надеюсь будет понятно)

Приложения:
Ответ дал: ilyadub2017
0
спасибо
Вас заинтересует