Напишите пептид:пролин цистеин метионин валин серин.
Перечислите цветные реакции,характеристику для данного пептида.
Вопрос жизни и смерти помогите пж)
Ответы
Ответ дал:
0
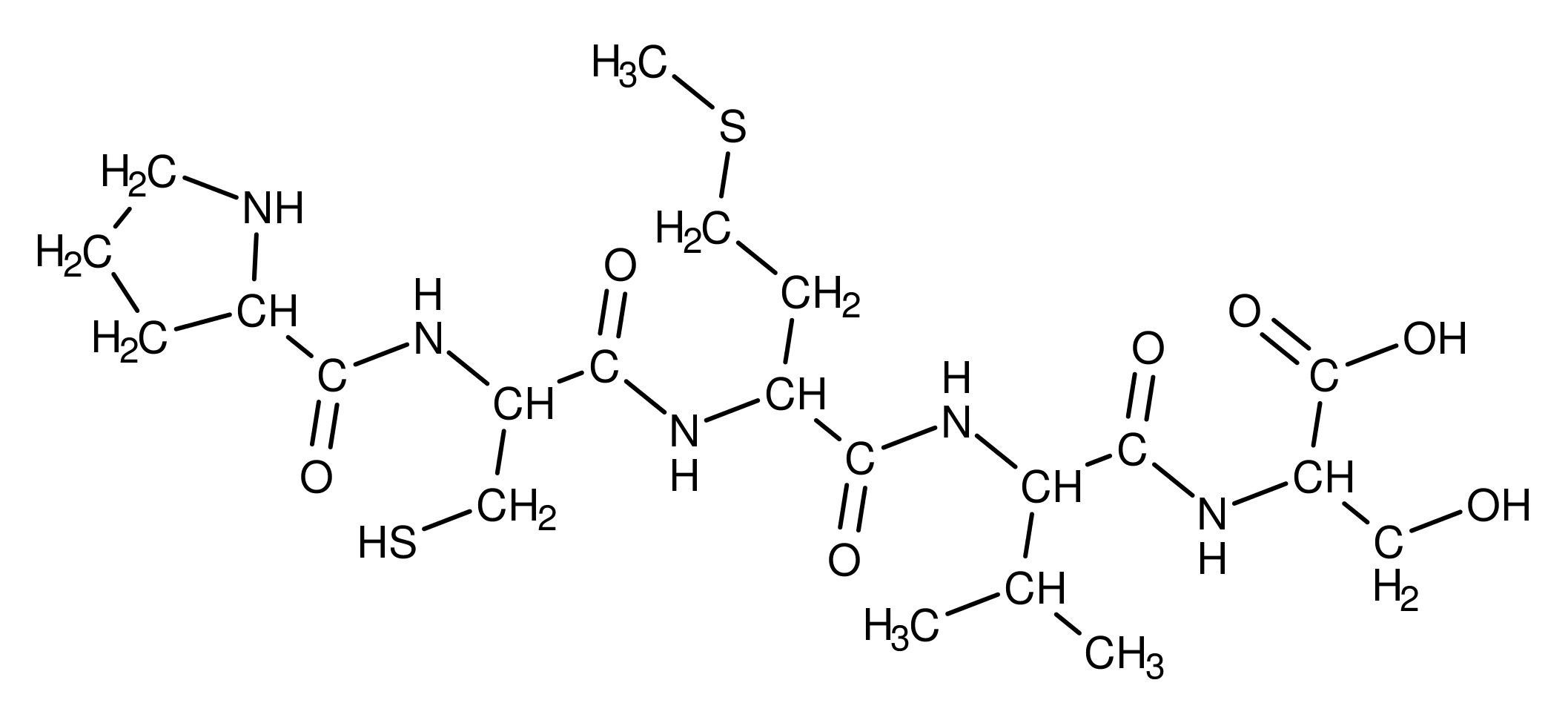
Вы имели ввиду пролил-цистеинил-метионил-валил-серин. Структурная формула этого пентапептида на рисунке.
Для этого олигопептида характерны следующие цветные реакции
- биуретовая реакция на пептидную связь
- нингидриновая реакция на аминогруппы в α-положении
Для этого олигопептида характерны следующие цветные реакции
- биуретовая реакция на пептидную связь
- нингидриновая реакция на аминогруппы в α-положении
Приложения:

Ответ дал:
0
Так в том то и дело, что такое изображение структуры рекомендовано международным союзом теоретической и прикладной химии. Ну, а сделать угловые соединения атомов прямыми не составит труда.
Ответ дал:
0
ну тогда прошу,напишите.
Ответ дал:
0
заранее выражаю свою признательность)
Ответ дал:
0
У меня сейчас нет доступа к компьютеру. Завтра уже.
Ответ дал:
0
хорошо,тогда будьте добры с утра написать)
Вас заинтересует
2 года назад
2 года назад
7 лет назад
9 лет назад
9 лет назад