• Предмет: Геометрия
  • Автор: lilovayaliolie
  • Вопрос задан 9 лет назад

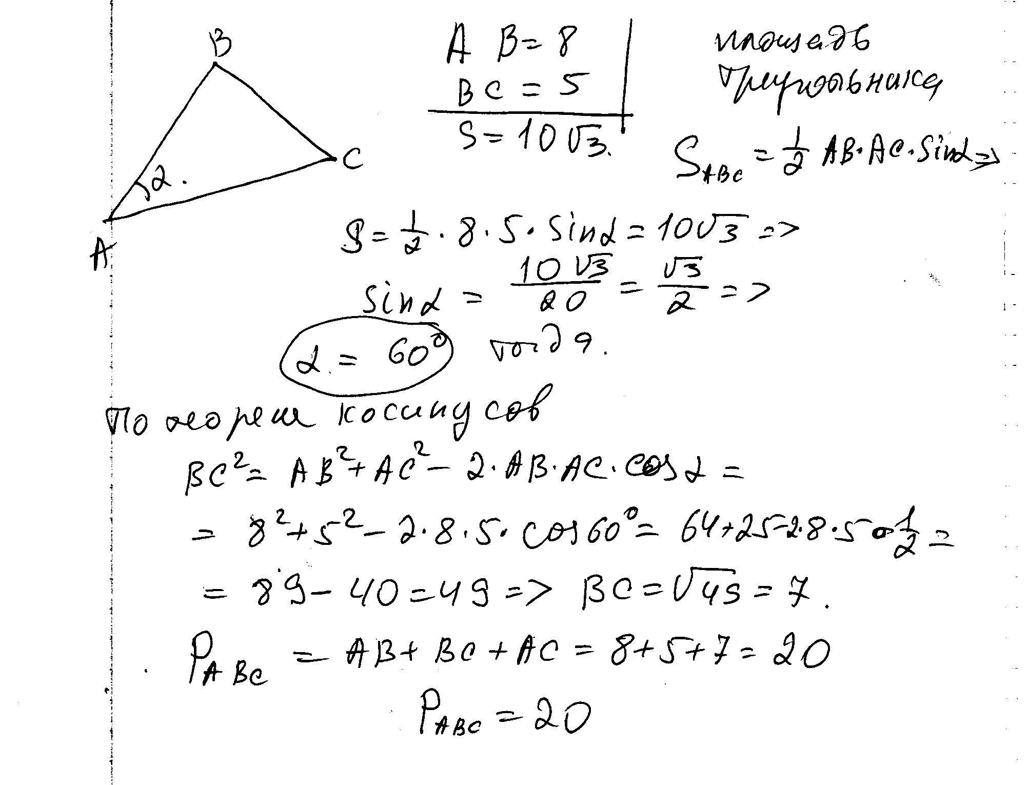
Две стороны остроугольного треугольника равны 5 и 8 см а площадь равна 10 корней из 3. Найти периметр

Ответы

Ответ дал: ужнеужели
0
решение в скане............
Приложения:
Вас заинтересует