• Предмет: Алгебра
  • Автор: germankazachek
  • Вопрос задан 9 лет назад

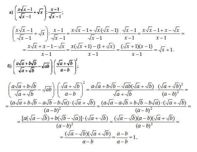
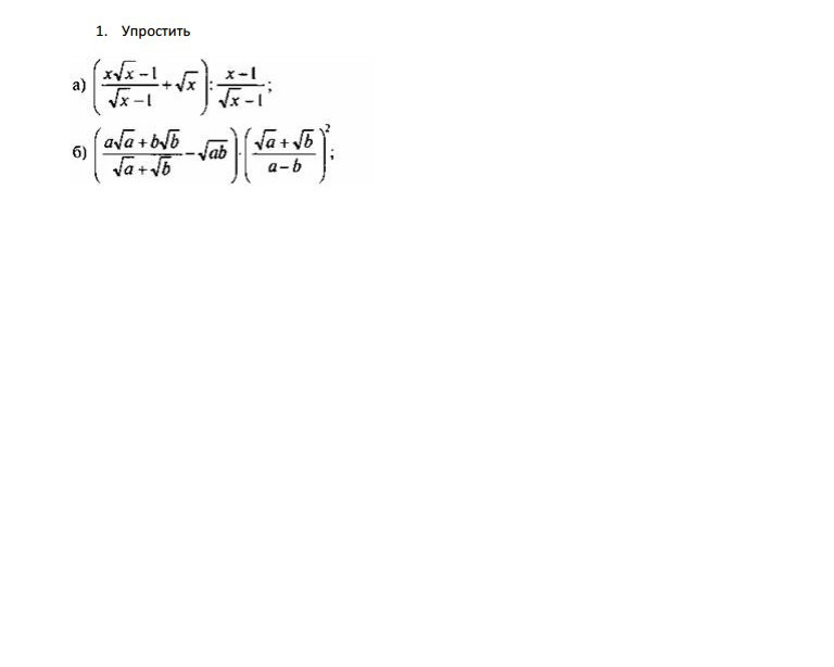
упростите выражения (с решением) 20 баллов

Приложения:

Ответы

Ответ дал: SergFlint
0
Решение в приложении.
Приложения:
Вас заинтересует