• Предмет: Алгебра
  • Автор: Ханма
  • Вопрос задан 9 лет назад

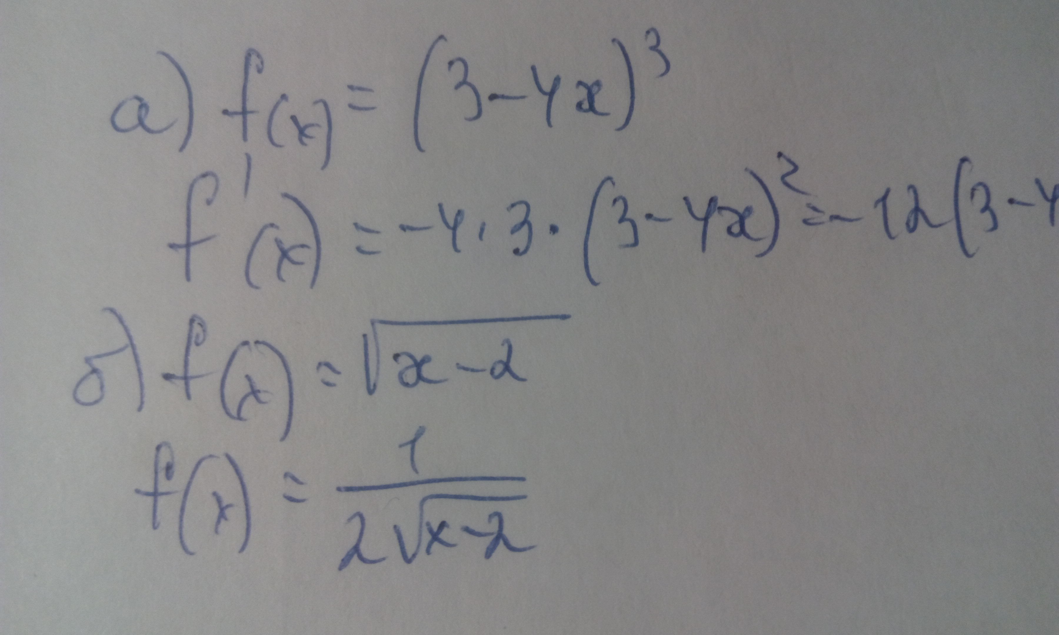
Срочно,пожалуйста!!!Найдите производные функций:а)f(x)=(3-4x)^3;б)f(x)=под корнем х-2

Ответы

Ответ дал: irinan2014
0
Всё решаем по формулам.
Приложения:
Ответ дал: Ханма
0
Вы можете мне и с остальными помочь?
Ответ дал: zews1065
0
а. 3·(3-4х)²·(-4)
б. 1/{2√(х-2)}
Приложения:
Вас заинтересует