• Предмет: Математика
  • Автор: Sergbro
  • Вопрос задан 9 лет назад

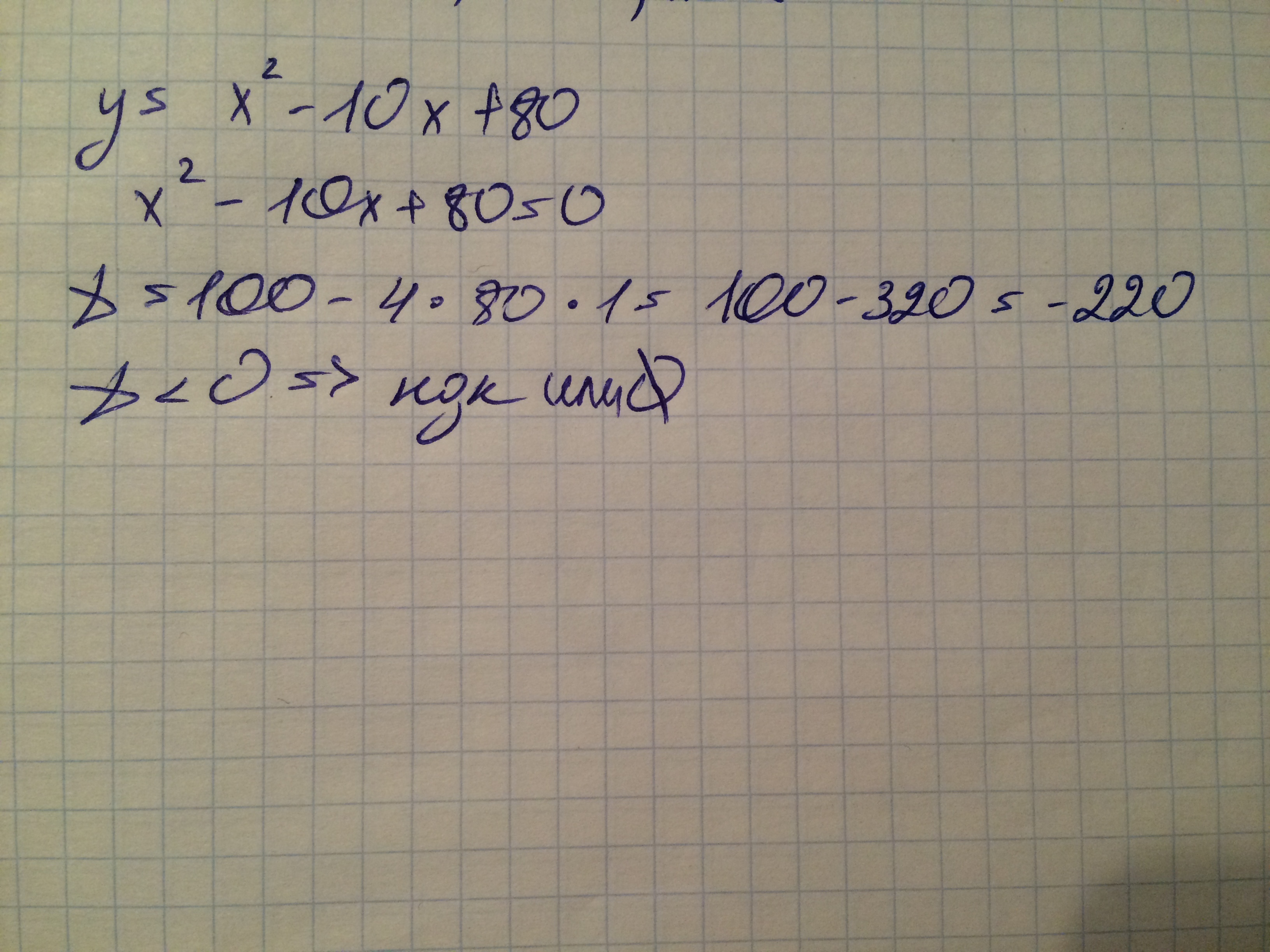
y= (x^2)-10x+80 помогите решить

Ответы

Ответ дал: Drusha99
0
Ой, чёт я сама хз, удачи
Приложения:
Вас заинтересует