• Предмет: Математика
  • Автор: ShineAir
  • Вопрос задан 10 лет назад

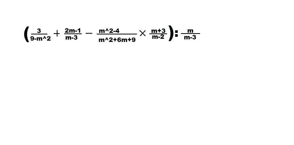
Упростить выражение.

Приложения:

Ответа на этот вопрос пока нет. Попробуйте найти его через форму поиска.

Вас заинтересует