• Предмет: Математика
  • Автор: BlackSatan666
  • Вопрос задан 9 лет назад

Решите уравнения
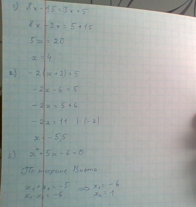
8x-15=3x+5
-2(x+3)=5
x^2+5x-6=0
Спасибо заранее!

Ответы

Ответ дал: ariaro
0
смотри прикрепленный файл
Приложения:
Ответ дал: BlackSatan666
0
А третье уравнение через дискриминант поможешь?
Вас заинтересует