• Предмет: Математика
  • Автор: Alina211204
  • Вопрос задан 10 лет назад

Прошу помогите буква б)

Приложения:

Ответы

Ответ дал: pollybrain
0
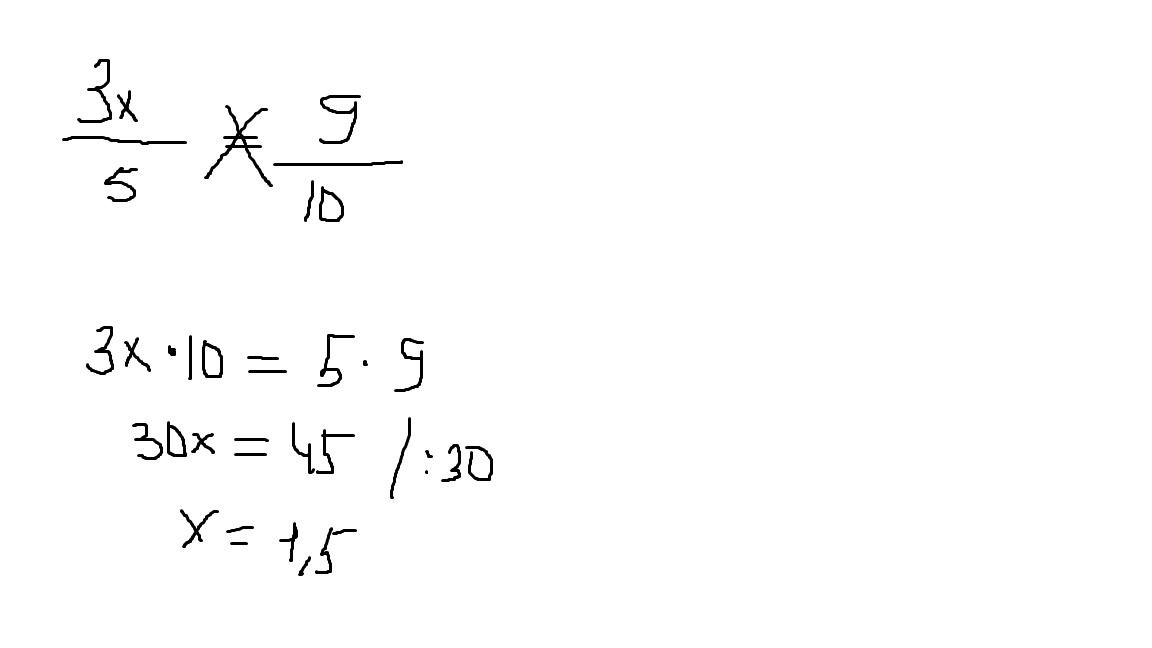
Вот решение на уравнение

Приложения:
Вас заинтересует