Помогите СРОЧНО! Длины параллельных сторон трапеции равны 4 и 25 см , а длины боковых сторон - 20 см и 13 см .Найдите высоту трапеции
Ответы
Ответ дал:
0
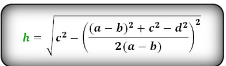
(20^2-(((25-4)^2+20^2-13^2)/(2(25-4))^2)^1/2=(400-((441+400-169)/42)^2)^1/2=12
Приложения:


Вас заинтересует
2 года назад
2 года назад
7 лет назад
7 лет назад
9 лет назад
10 лет назад
10 лет назад