Ответы
Ответ дал:
0
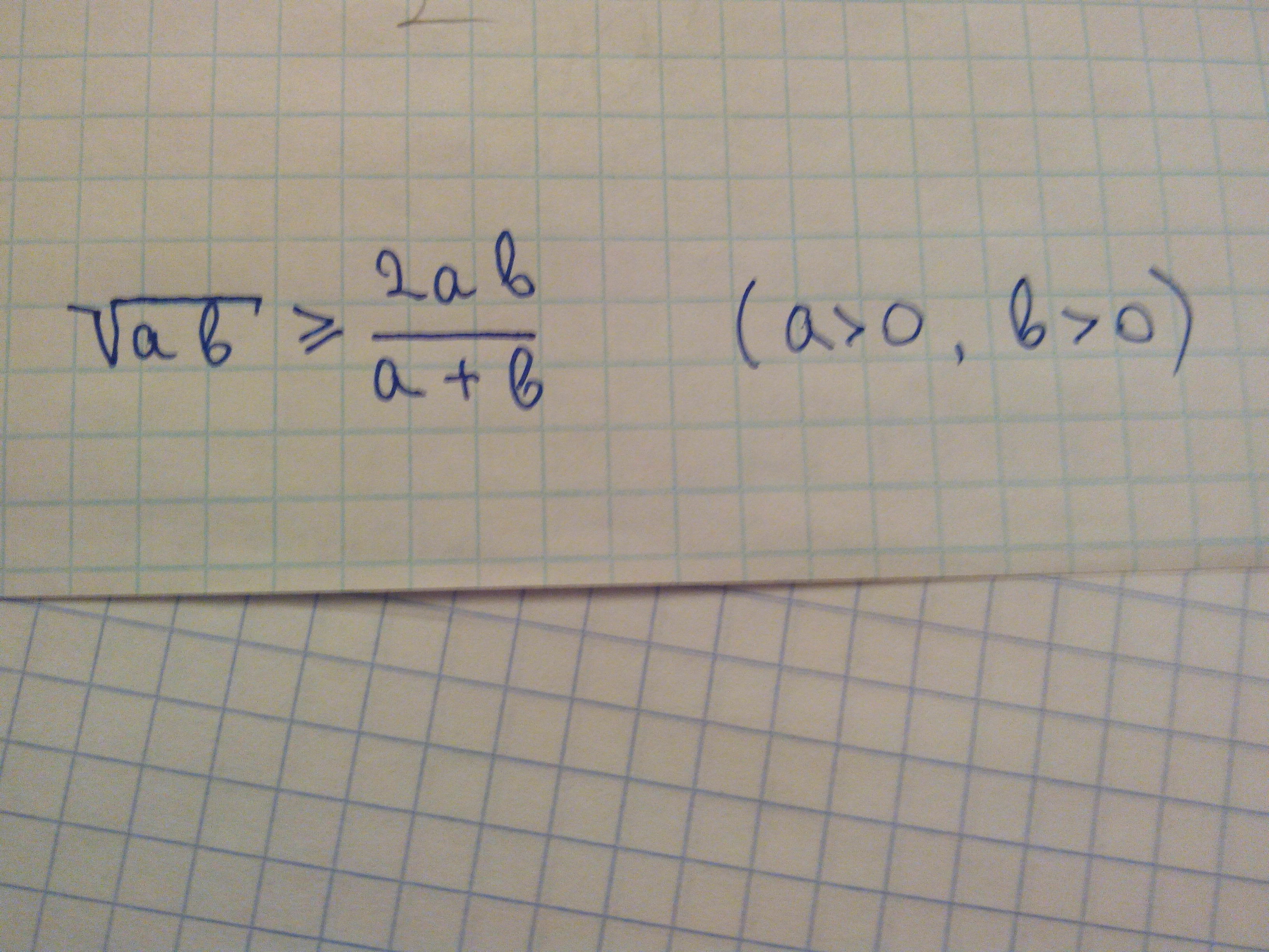
(√a-√b)²≥0 - очевидно. Раскрываем скобки:
a+b-2√(ab)≥0
a+b≥2√(ab)
Разделим на (a+b):
1≥2(√(ab))/(a+b)
Домножим обе части на √(ab):
√(ab)≥2ab/(a+b)
a+b-2√(ab)≥0
a+b≥2√(ab)
Разделим на (a+b):
1≥2(√(ab))/(a+b)
Домножим обе части на √(ab):
√(ab)≥2ab/(a+b)
Вас заинтересует
3 года назад
7 лет назад
7 лет назад
10 лет назад
10 лет назад
10 лет назад
10 лет назад